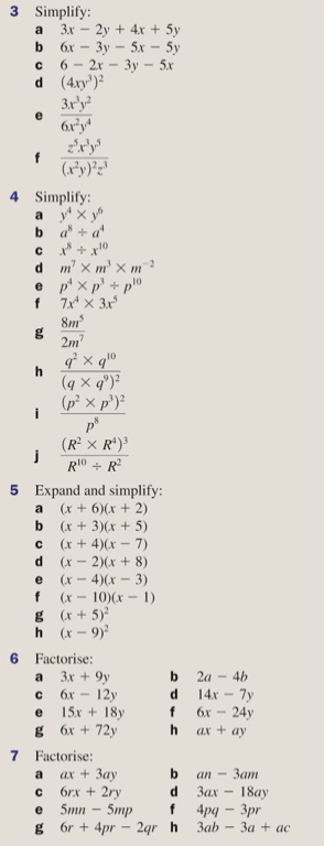
Here are some general questions to practice the algebra that we have learned so far (from exercise 2 on pages 34 to 36 of your textbook:





And here are the answers:


Here are some general questions to practice the algebra that we have learned so far (from exercise 2 on pages 34 to 36 of your textbook:





And here are the answers:

