Expanding Brackets
When a number (or letter) is written directly outside of a bracket, we must multiply that number (or letter) by all of the terms inside the bracket.
So, for instance 2(x+3) = 2x + 6
Also 3(7+2x) = 21 + 6x
Also 4(8-y) = 32 – 4y
Also x(8-y) = 8x – xy
Also x(8-x) = 8x – x2
Often in a question after expanding brackets we will be required to simplify an expression, like this. We can apply this to the following expression to end with 3 terms.
3(x-4) + 2(y+7) – 5(x-6) -3(y+2)
Let’s practice some with the teacher:




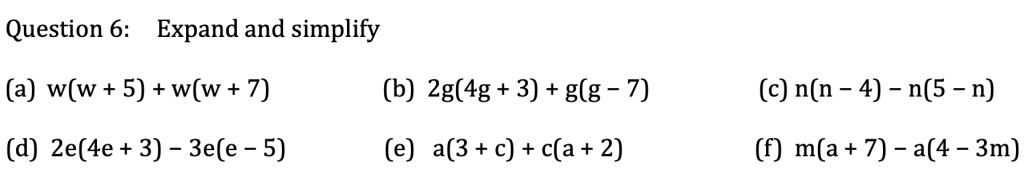
Now let’s practice doing some ourself in our notebooks (from exercise 2D on pages 24 and 25):


You can check your answers below:

Brackets multiplied by brackets
Sometimes the situation can be a little more difficult. We may have to multiply a series of terms in one bracket by a series of terms in another bracket, like this:
(x+7)(x+8)
When we do this we must multiply every term in the first bracket by every term in the second bracket. And after doing it we must collect like terms to simplify our expression. So how many multiplications will there be in the above expression? Which ones will give us like terms?
As always, we have to be especially careful when dealing with negatives, such as:
(x+7)(x-8)
or (x-7)(x-8)
or if the order of the terms in the expression is different, e.g. (7-x)(x-8).
But as long as you follow the important rule that every term in the first bracket must be multiplied by every term in the second bracket, your answer should be correct. And remember that the negative sign is always applied to the number after it.
Let’s try some more together:





Now here’s an exercise for you to work on yourselves in your notebooks (from exercise 2H on pages 28 and 29 of your textbook:


Below are the answers to the exercises:
