As you have learned previously, coordinate geometry was the brainchild of Rene Descartes (1596-1650), creating a permanent link between the topics of Euclidean geometry and algebra, both of which had previously been seen as separate unrelated topics. Below is the cover of the text he published introducing coordinate geometry.

In our AS level course, we will learn to understand and apply some algebraic formulae to represent lines and circles in cartesian space.
Let’s start with lines.
Given two points in cartesian space, we need to be able to find the following properties of the line segment joining them:
- Length;
- We can derive a formula for this by using Pythagoras’ Theorem;
- Gradient
- The gradient is the amount of units by which the line goes up for every 1 unit it goes across. Another way of saying this is the difference between the y-axis coordinates divided by the difference between the x-axis coordinate. This leads straight to the relevant formula;
- Midpoint.
- The midpoint between two coordinates has an x coordinate which is the average of the two x coordinate values, a y coordinate which is the average of the two y coordinate values.
Relevant formulae to copy down and memorise
Example
For each of the following pairs of points, calculate the length, gradient and midpoint of the line segments joining them:
- (1,1) and (4,5);
- (1,1) and (-4,-5);
- (-1,0) and (-3,-5); and
- (1,5) and (-3,-5).
Exercise
(14.) A triangle has vertices A:(-2,1), B:(3, -4) and C:(5,7)
(a.) Find the coordinates of M, the mid-point of AB, and N, the midpoint of AC.
(b) Show that MN is parallel to BC.
(15.) The points A:(2,1), B:(2,7) and C:(-4,-1) form a triangle. M is the midpoint of AB and N is the midpoint of AC.
(a) Find the lengths of MN and BC;
(b) Show that BC = 2MN.
(19.) The vertices of a quadrilateral PQRS are P(1,2), Q(7,0), R(6,-4) and S(-3,-1).
(a) Find the gradient of each side of the quadrilateral;
(b.) What type of quadrilateral is PQRS?
Solutions

Equation of a line – parallel and perpendicular lines
Given 2 points on a line, or 1 point and the gradient of the line, we need to identify the equation of the line. This equation then lets us calculate the coordinates where the line intersects axes, or where two lines intersect each other.
Relevant formulae to copy down and memorise
Examples (give all answers in the form: y=mx+c)
- Find the equations of the following lines:
- Passing through (4,5) with gradient 2;
- Passing through (-4,-5) with gradient 1/3; and
- Passing through (1/2, -1/3) with gradient -6.
- Find the equations of the lines with the following end-points:
- (1,0) and (3,5);
- (1,0) and (-3,-5);
- (-1,0) and (-3,-5); and
- (1,5) and (-3,-5)
We need to understand what parallel lines are, what perpendicular lines are, and to calculate the gradient of one line from another if the two lines are parallel or perpendicular.
If we know the equations of two lines, we need to be able to find the coordinates of the point where they intersect.
Example
- Find the point of intersection of the following two lines:
- y = 2x+3; and
- 3x + 2y = 13.
Take care to always calculate both coordinates!!!
Exercise 1 – Equation of a Line
1.) Find the equation of the line with:
(a.) gradient 2 passing through the point (4,9);
(b.) gradient -3 passing through the point (1,-4);
(c.) gradient passing through the point (-4,3).
2.) Find the equation of the line passing through each pair of points:
(a.) (1,0) and (5,6);
(b.) (3,-5) and (-2,4);
(c.) (3,-1) and (-3,-5).
3.) Find the equation of the line:
(a.) parallel to the line y = 3x – 5, passing through the point (1,7);
(b.) parallel to the line x+2y=6, passing through the point (4,-6);
(c.) perpendicular to the line y=2x-3, passing through the point (6,1);
(d.) perpendicular to the line 2x-3y=12, passing through the point (8,-3)



Answers


Circles
Everything above has been about lines. Let’s think now about a slightly more difficult shape, a circle.
What is our standard definition of a circle (in Euclidean geometry)?
How can we adopt this definition to make it applicable to coordinate geometry?

In the above diagram (a,b) is the centre and (x,y) is any point on the circumference of a circle with radius r.
By Pythagoras’ Theorem, CL2+LP2=r2, and so we have the following which is the general formula for the equation of circle:
(x-a)2+(y-b)2=r2.
This formula must be memorised!!
Example
Find the centre and the radius of a circle whose equation is 3x2+3y2-5x-6y+4=0
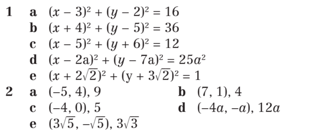
Exercise

Solutions

Intersection of lines and circles
We can find the intersection points by solving simultaneous equations.
We do this by substituting the linear equation into the quadratic equation.
Note: If the equations have only one solution, then the line is a tangent. If they have no solutions then they don’t intersect.
Examples

Exercise

Solutions

General coordinate geometry practice exercise






Solutions to general coordinate geometry practice exercise





