What is a set? We usually refer to sets using a capital letter, e.g. A or B, and refer to their contents using curly brackets {,}.
Set theory is a kind of language, so let’s start by learning some of the key vocabulary that we will use.


Exercise
Let’s complete exercise 1 from pages 281 to 283 of the extended textbook:



The answers are below:

Now let’s start to think about solving problems in set theory using the formal notation.
Example
𝜖 = {1,2,3,…,12}, A={2,3,4,5,6}, B={2,4,6,8,10}
Find: (a) A∪B, (b) A∩B, (c) A’, (d) n(A∪B), (e) B’∩A.
Exercise
Let’s complete exercise 2 from pages 283 and 284 of the extended textbook:


The answers are below:

Now let’s try shading in some areas on Venn Diagrams
Example

Exercise
Let’s complete exercise 3 from pages 284 and 285 of the extended textbook:


The answers are below:


Now that we know the language of set theory, we can start to tackle some interesting questions that are best expressed (and resolved) using this language.
Examples


Exercise
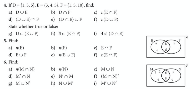
Let’s complete exercise 4 from pages 287 to 289 of the extended textbook:



The answers are below:

