An index or a power is a convenient way of indicating that a number is multiplied by itself several times. So 92= 9×9, whereas 95 = 9x9x9x9x9. We can use indices with numbers and also with letters in algebra (what does x4 mean?)
Geometrically, x2 tells us the area of a square with side length x, and y3 tells us the volume of a cube with side length x.
Exercise
Let’s complete exercise 1 on pages 328 to 329 of the core textbook:


The answers are below:

Roots
In many areas of mathematics we encounter the concept of inverse operations. The inverse operations for x2 and x3 are √x and ∛x. What do these operations indicate geometrically?
Exercise
Let’s complete exercise 2 on pages 330 and 331 of the core textbook:


The answers are below:

Negative and Zero Indices
Let’s memorise the formula for negative and fractional indices and practice in a few concrete cases.
Exercise
Let’s complete exercise 3 from page 331 of the core textbook:

The answers are below:

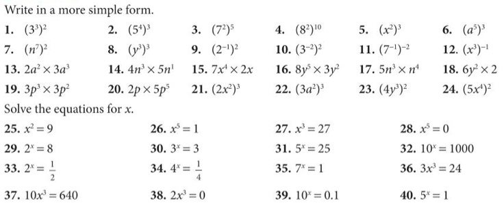
Arithmetic with Indices
We need to memorise the rules for multiplying and dividing powers of the same number and for finding the power of a power. We will need to apply this with numbers and with algebra.
Exercise
Let’s complete exercise 4 and exercise 5 on pages 332 and 333 of the core textbook:


The answers are below:

