On this set of exercises we introduce the “positive square root” sign. Do you know what the inverse of this sign is?
Worked examples

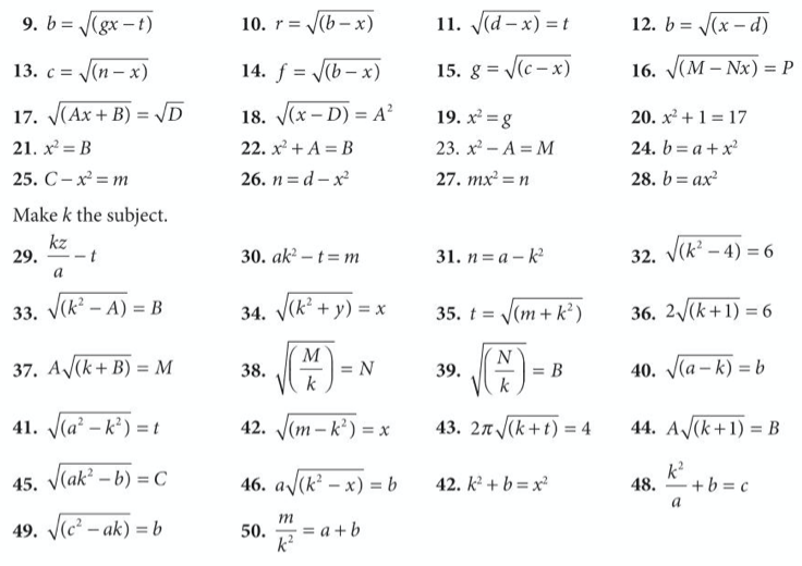
Exercises


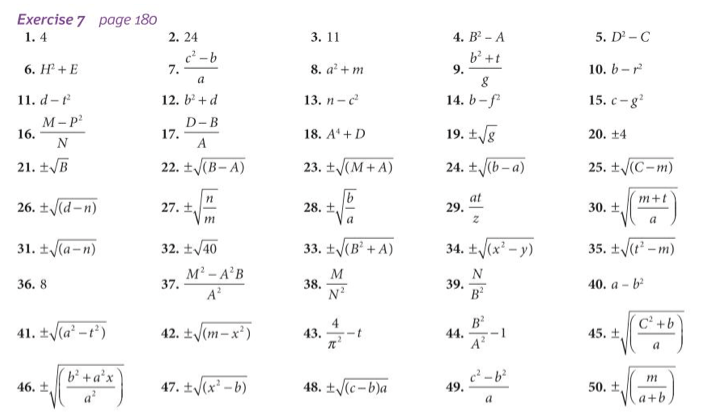
The answers are below:

On this set of exercises we introduce the “positive square root” sign. Do you know what the inverse of this sign is?
Worked examples

Exercises


The answers are below:
