By iGCSE we have seen the index rules several times. Our job now is to make sure that we have memorised them and to use them effectively with algebra as well as with numbers.
Do we remember what an index means? So what does 25 mean? What does x5 mean?
Which indices rules do you know confidently already? Which ones do you still need to memorise?
Exercise
Let’s complete exercise 12 from page 190 of the extended textbook. “Express in index form” means rewrite the expression so that it has an index. “Simplify” means write it as a single letter with an index.

The answers are below:

In the following exercise (exercise 13 from page 191 of the extended textbook) we want a final answer, which will not have an index (i.e. so if your answer is 23, you must write 8).


The answers are below:

Extension exercise
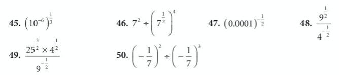
Below we have some slightly more difficult questions from exercise 14 on pages 192 and 193 of the textbook:


The answers are below:
