Although solving equations algebraically is lots of fun, the process wasn’t just invented as a game to play, but helps us to solve many problems, which can be expressed in words, or geometrically. Let’s try solving some of these.
Examples


Exercise
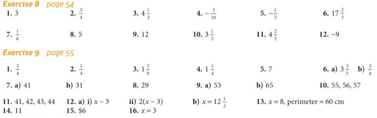
Let’s complete exercises 8 and 9 from pages 54 to 57 of the core textbook:





The answers are below:

Harder problems
We can also have a go at the harder problems below from exercises 17 and 18 on pages 73 to 77 of the extended textbook:





The answers are below:
