There are three things that we need to know when solving equations
1.) Our aim is to get the letter on one side of the equation on its own. So the end of our work will be when the equation looks like “x = ____” or “____ = x”;
2.) In order to achieve our aim we are ONLY allowed to use arithmetic (forget what other teachers have told you about “moving” things). We keep using arithmetic until we achieve our aim.
3.) In order for the equation to stay true, any arithmetic we apply we must apply to both sides of the equation. So if we add 6, we must add 6 to both sides of the equation. If we multiply by 4, we must multiply everything on the left by 4 and also multiply everything on the right by 4.
Let’s try solving some simple equations where the letter only appears on one side of the equation with our teacher.
Exercise
Let’s complete exercise 3 from pages 50 and 51 of the core textbook:


The answers are below:


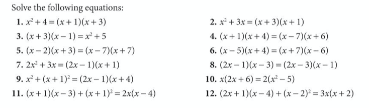
Equations with the variable on both sides
Using the method we have already used, dealing with equations with the variable on both sides is no more difficult. We simply need to add or subtract some multiple of x to both sides to end the process with our required form of x = ____ of ___ = x. Let’s try some with the teacher.
Exercise
Let’s complete exercise 4 from page 51 of the core textbook:

The answers are below:

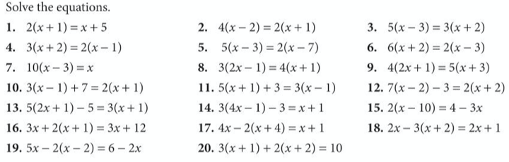
Brackets in equations
If we have brackets in equations we have two choices. Either we can divide both sides by whatever the factor is outside of the bracket, or we can expand the bracket and then proceed as normal. Either of these will give us the correct answer, it just depends upon the specific example which will be easier for us. Don’t worry about which method you use – as long as you follow the normal rules your answer will be correct.
Exercise
Let’s complete exercise 5 from page 52 of the core textbook:

The answers are below:

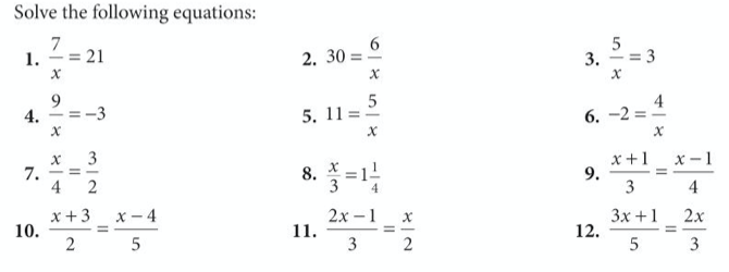
Fractions
Finally let’s solve some equations involving fractions, including when the variable (the letter) is on the denominator (the bottom) of the fraction. The method is identical to in all of the examples above.
Exercise
Let’s complete exercise 6 from page 53 of the core textbook:

The answers are below:

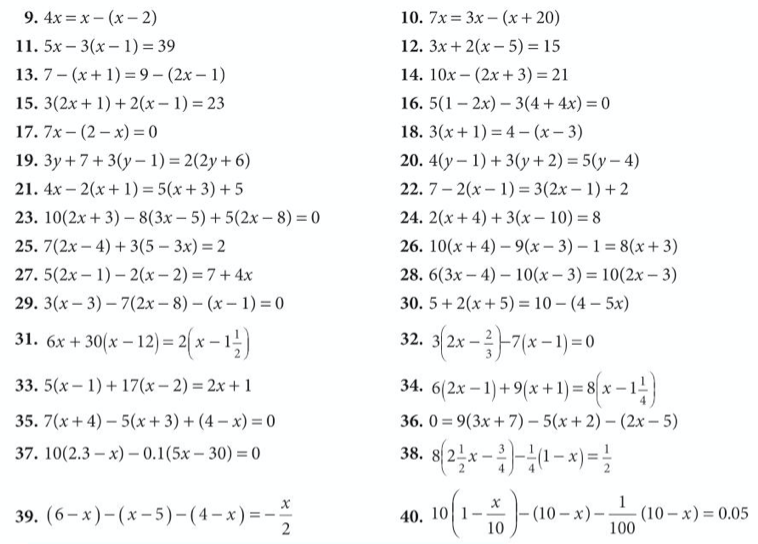
Trickier Exercise
Let’s try some trickier questions from exercises 14, 15 and 16 on pages 68 to 72 of the core textbook:






The answers are below:

