Syllabus Objective: C2.2 Expand products of algebraic expressions (what does this mean)
Whenever we see something (i.e. a number or a letter) written in front of a bracket, it means that this something is multiplied by all of the terms inside the brackets.
- So, for instance 2(x-3) is equal to ?
- And -x(x-4) is equal to?
Also, if we have two expressions both in brackets, then all of the terms in the first expression must be multiplied by all of the terms in the second expression (N.B. if each expression has 2 terms, this means there will be four multiplications altogether)
- So, for instance (x+2)(x-3) is equal to ?
- And (x-7)(x-4) is equal to?
Practice with teacher

What if there is a letter outside of the brackets, like x(2x-3), or a term with a letter multiplied by something, like 4x(2x-3)?


Again, what would we do if there was a term with a letter multiplied by something (we call this a term with a coefficient of x), like (2x+3)(7x-8) or (9x-3)(8x-7).
Exercise
Now let’s complete exercise 11 on page 241 of the core textbook:

The answers are below:

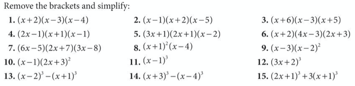
Extension exercise
Below are some more advanced questions from the “extended” book. The principle is the same, just some of our brackets are now “squared” and some questions have three brackets. Where there are three brackets, deal with two of them first, and then deal with the remaining one.
The exercises are exercise 11 and 12 from pages 66 and 67 of the extended textbook:


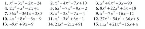
The answers are below:


Difficult Questions
The next stage in this topic will be introducing binomial expansion, which allows us to expand brackets raised to any power. We won’t introduce that here, but we will look at some more difficult questions which will help us to be more flexible in our thinking as well as using our technical skills (I haven’t included the solutions for these):



