We have a special formula that we can use if we want to factorise the difference of two squares. We show it below with a diagram to show its geometrical interpretation:

So, in summary, the formula is:

Examples

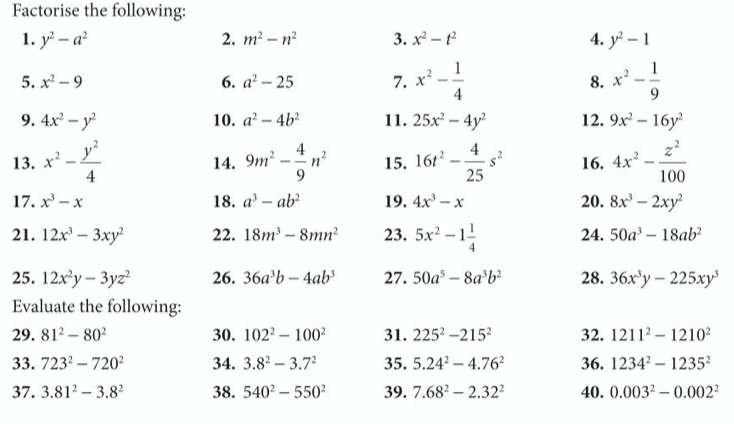
Exercise
Let’s complete exercise 27 from page 87 of the extended textbook:

The answers are below:
