If we have an algebraic expression, such as 2x-3 and we are told the value of the unknown, e.g. x=7, then we can evaluate the expression, that is, find its value, by substituting the value of the unknown into the expression. What will the value be in this case?
Examples

Exercise
Let’s complete exercise 8F from pages 121 and 122 of the textbook:



The answers are below:

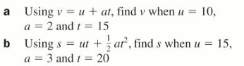
Formulae
A formula is an equation with a special meaning (e.g. there is a formula for velocity, which is v=u+at). If we know the value of all but one of the unknowns in a formula, we can substitute them into the formula to find the remaining unknown value.
Examples



Exercise
Let’s complete exercise 8G from page 123 of the textbook:


The answers are below:

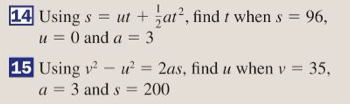
Deriving Formulae
In the following exercise we derive formulae. This is again like using algebra to solve word problems – we are doing the same mathematics, but using it to model reality.
Exercise
Let’s complete exercise 8H from pages 124 and 125 of the textbook:



The answers are below:
