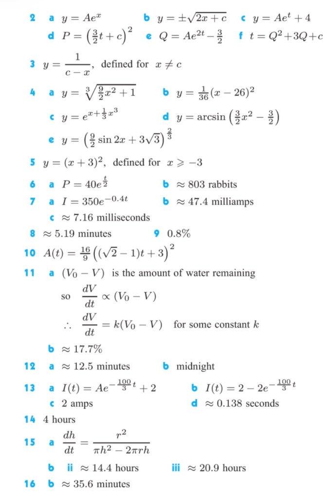
Any DE which can be written in the form we classify as a Separable Differential Equation and use a standard method developed by Johann Bernoulli (c.1695) to solve.
The method involves rewriting as
Worked Example 1. General Solution
Solve the following differential equation:
(a)
(b)
Worked Example 2. Particular Solution
Solve the differential equation given that y(0) = 0
Worked Example 3. Population Growth
A salmon farm has an initial population of 80. The population grows according to the differential equation , where t is the time in years.
(a) Write an expression for P in terms of t.
(b) Find the salmon population after 10 years.
Worked Example 4. Rate of Change (Geometric)
Water flows out of a tap at the bottom of a cylindrical tank with base radius 2m. The rate at which the water flows is proportional to the square root of the depth of the water remaining in the tank. Initially the tank is full to a depth of 9m. After 15 minutes the water is 4m deep. How long will it take for the tank to empty?
Exercise
1.) Solve the following differential equations:
- a)
- b)
- c)
- d)
- e)
- f)
- g)
- h)
- i)
2.) Solve:
- a)
- b)
- c)
- d)
- e)
- f)
3.) Solve the differential equation . Discuss the values of x for which the solution is defined.
4.) Find the particular solution to:
- a)
, given that y(0) = 1
- b)
, given that y(44) = 9
- c)
given that y(0) = 1
- d)
given that y(1) = 0
- e)
given that y(0) = 3
5.) Find the particular solution to given that y(0) = 9. State the values of x for which the solution is defined.
6.) A population of rabbits in a field grows according to the differential equation , where t is the time in months. The initial population was 40 rabbits.
- a.) Write P in terms of t
- b.) Find the rabbit population after 6 months
7.) When a transistor radio is switched off, the current I (in milliamps) falls away according to the differential equation where t is the time in milliseconds. At the instant the radio is switched off, the current is 350 milliamps:
- a) Write I in terms of t
- b) Find the current after 5 milliseconds
- c) How long will it take for the current to fall to 20 milliamps?
8.) Ethylene oxide reacts with water in the presence of the catalyst sulphuric acid to form ethylene glycol. Since water is present in excess, the rate of change in concentration of ethylene oxide (A) will be given by where the reaction rate constant k = 0.31 min-1. The initial concentration of ethylene oxide is 1 mol L-1. Find the time required for 80% of the ethylene oxide to be used up.
9.) In the “inversion” of raw sugar, the rate of change in the weight w kg of raw sugar is directly proportional to the weight w. After 10 hours, 80% of the sugar has been “inverted”. What percentage of raw sugar remains after 30 hours?
10.) A bloom of toxic blue-green algae grows in proportion to the square root of its existing size. When it is first noticed, the bloom covers 16 m2. Its area doubles in the next 3 days. Find a function A(t) for the area of the bloom after t days.
11.) Water evaporates from a lake at a rate proportional to the volume of water remaining. Suppose V is the total amount of water evaporated after t days, and V0 is the initial volume of water in the lake.
a) Explain why
b) If 50% of the water evaporates in 20 days, find the percentage of the original water remaining after 50 days without rain.
12.) Newton’s law of cooling states that the rate at which an object changes temperature is proportional to the difference between its temperature T and that of the surrounding medium Tm, so
Use Newton’s law of cooling to solve these problems:
a) The temperature inside a refrigerator is maintained at 5°C. An object at 100°C is placed in the refrigerator to cool. After 1 minute its temperature drops to 80°C. How long will it take for the temperature to drop to 10°C?
b) At 6am the temperature of a corpse was 13°C. By 9am it had fallen to 9°C. Given that the temperature of a living body is 37°C and the temperature of the surroundings is constant at 5°C, estimate the time of death.
13.) In an RL-circuit, the current I amps changes according to the differential equation where L is the induction in henrys, R is the resistance in ohms, E is the voltage drop in volts and t is the time in seconds.
Suppose L = 0.3, R = 10 and E = 20.
- a.) Find a general solution for I(t).
- b.) Find a particular solution for I(t) if I(0) = 0 amps.
- c.) By considering I as t tends to infinity, find the limiting current.
- d.) Find the time required for the current to reach 99% of its limiting value.
14.) Water flows out of a tap at the bottom of a cylindrical tank of height 4 m and radius 2 m. The tank is initially full, and the water escapes at a rate proportional to the square root of the depth of the water remaining. After 2 hours, the water is 1 m deep. How long will it take for the tank to empty?
15.) Water evaporates from a hemispherical bowl with radius r cm at the rate , where t is the time in hours. The volume of water of depth h, in a hemispherical bowl of radius r, is given by
- a) Use
to write a differential equation connecting h and t, given that r is a constant.
- b) Suppose that the bowl’s radius is 10cm and that initially the bowl is full of water.
- (i) Show that
- (ii) Find the time taken for the depth of the water to fall to 5cm
- (iii) How long will it take for the bowl to empty?
- (i) Show that
16.) Since water and oil are immiscible, oil spilt in water will form a cylindrical patch on the surface of the water. The patch spreads at a rate proportional to the thickness of the patch, which is the height of the cylinder.
- a.) Suppose V cm3 of oil is spilt on a still surface. Show that the radius r of the spill after t seconds is given by
cm , where c, k are constants.
- b.) Suppose 1l of oil is spilt on a still lake. The initial radius of the spill is 20cm, and after 2 seconds it has increased to 50cm. How long will it take for the spill radius to reach 5m?
Answers

