Before we start working on functions, let’s practice an exam question on topics we have already studied. This is from the winter 2016 paper 11:

Solution (mark scheme)

Functions
A function is a relation that uniquely associates members of one set with members of another set (e.g. f(x) = 2x is a function).
Functions can be one-one (e.g. f(x) = 5x) or many-one (e.g. f(x) = 2x2)
Syllabus extract showing what we must know about functions

We can write functions using the notation f(x) = 3x or f: x |-> 3x (I prefer the first one, but you will see the second one sometimes and need to be able to understand it.
The most important concepts that must be understood about functions are those of the domain and the range.
Domain
The domain is the set of input values that the function can take.
For instance f(x) = 2x can take all values, so its domain is or (-∞,∞).
However cannot take the value 2, so its domain is
or x
(-∞,2)∪(2,∞).
Range
The range is the set of output values that the function can take.
For instance, with f(x) = 2x, f(x) can take all values, so its range is or (-∞,∞)
However, with f(x)= 1/(x-2), f(x) will never take the value 0, so its domain is or x
(-∞,0)∪(0,∞).
Worked Examples


Example solutions


Exercise 1
Let’s complete some questions from the following exercise:


Answers



Composite Functions
We can easily combine functions by making one function the internal function and one function the external function.In this case, the variable in the external function is replaced by the internal function.
e.g. f(x) = x+2, g(x)=3x. What would fg(x) be? What would gf(x) be?
The range of the internal function is necessarily the domain of the external function.
Worked examples

As stated above, the range of the internal function is the domain of the external function. So if f(x)=x2 and g(x)=x+3, then what will be the range of gf(x)?
Exercise 2



Answers


Inverse Functions
The inverse of a function undoes whatever the functions does: ff-1(x)=f-1f(x)=x
The domain of f-1(x) is the range of f(x)
The range of f-1(x) is the domain of f(x)
A inverse function only exists if there is a one-one mapping (if the mapping is many-one the inverse will not be a function unless its domain is restricted).
If f(x) and f-1(x) are the same function, then f is a self-inverse function, e.g. .
- Process for finding inverse functions:
- Write y=f(x);
- Swap the variables y and x throughout;
- Rearrange to make y the subject of the equation;
- Check the domain of the inverse function (this is the range of the original function.
Worked Examples




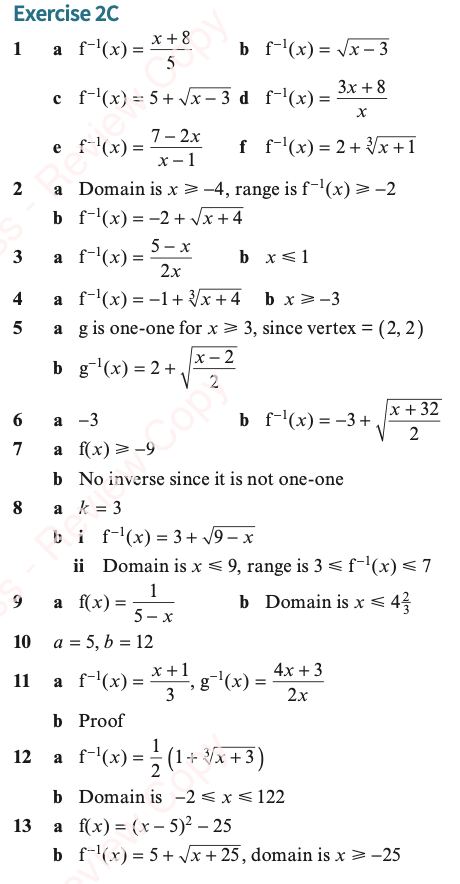
Exercise 3


Answers


Let’s start thinking about functions geometrically!
Graphs of functions (and their inverse)
If we know what the graph of a function looks like, how will we draw the graph of its inverse?
What do we know about the domain and the range of the inverse function?


Worked Examples



Exercise 4


Answers


Exam Question Practice
Maybe it’s time to practice a past paper question? (Paper 12 from summer 2016)

Mark Scheme

Geometrical Transformations of Functions
Transformation 1: Translations
The simplest kind of transformation is a translation.
A function can be translated horizontally (parallel to the y-axis) or vertically (parallel to the x-axis).
is the vector notation to refer to a horizontal translation by a and a vertical translation by b.
A vertical translation of b, i.e. moving a function vertically up by b, is achieved by adding b to the function, i.e. to y.
A horizontal translation of a, i.e. moving a function horizontally to the right by a, is achieved by subtracting a from the argument, i.e. x, of the function.
Worked Example

- Sketch the graph of each of these functions:
- y = f(x) +2;
- y = f(x-1);
- y = f(x+1) – 2.
Exercise 5 – Translating Functions


Answers


Transformation 2: Reflections
We will consider reflecting the function in the y-axis (i.e. horizontally) and reflecting it in the x-axis.
Reflecting in the y-axis, y-coordinates stay the same and every x-coordinate is replace with its negative. This is achieved by taking f(-x)
Reflecting in the x-axis, x-coordinates stay the same and every y-coordinate is replace with its negative. This is achieved by taking -f(x)
Worked Example


Exercise 6


Answers

Transformation 3: Stretches
y=a.f(x) stretches the graph vertically with a scale factor of a;
If 0<a<1, a “stretch” will in reality be a compression
If a<0, the stretch will be the same as the stretch by the absolute value of a that is then reflected in the x-axis.
y=f(ax) stretches the graph horizontally with a scale factor of 1/a (i.e. this will be a compression if a>1)
Worked Example

Exercise 7

Answers

Combining Transformations
We have to take care about the order in which we perform our transformations, especiallywith horizontal transformations.
With vertical transformations we work outwards, applying the transformation to the whole function
e.g. If f(x)=x2 is stretched vertically by 2 and then translated up by 3, we change f(x)=x2 to f(x)=2x2+3
Horizontal transformations are not so obvious. Here we work inwards, applying the transformation only to the argument, i.e. only to x.
e.g. If f(x)=x2 is stretched horizontally by 2 and then translated right by 3, we change f(x) to
Worked Example – Combining Transformations


Exercise 8 on Combined Transformations and Mixed Exercise on Functions






Answers





