Just like division is the inverse of multiplication (and typically a little more difficult), so if we want to find 72÷3 we can recognise that 3×24=72, so 72÷3 is 24. So, with integration, if we want to integrate f(x) we can think about what function we would differentiate to get f(x).
Integrating exponential functions
As we know that , so we can recognise that:
.
Worked Examples
1.) Find the following integrals:
;
.
2.) The diagram below shows the graph of y=ex. The point A has coordinates (ln5,0), B has coordinates (ln5,5) and C has coordinates (0,5):

- Find the area of the region OABE enclosed by the curve y=ex, the x-axis, the y-axis and the line AB. Hence find the area of the shaded region EBC;
- The graph of y=ex is transformed into the graph of y = lnx. Describe this transformation geometrically.
3.) A curve is such that . The point (0,1) lies on the curve.
- Find the equation of the curve
- The curve has one stationary point. Find the x coordinate of this point and determine whether it is a maximum or a minimum point.
Exercise 1



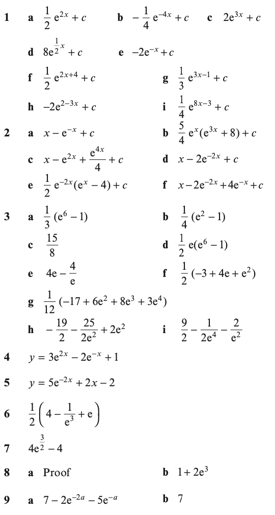
Answers


Integrating Linear Reciprocal Functions
N.B. Textbooks often do not write the modulus sign when doing indefinite integration. It is better to always write it.
Worked Examples
1.) Given that a is a positive constant and , find the exact value of a.
2.) Integrate the following functions:
.
3.) Given , find the value of k.
Exercise 2


Answers

Integrating Trigonometric Functions
Theory
Worked Examples
1.) Find the following integrals:
;
Exercise 3


Answers


Integrating using trigonometric identities
We can use the double angle formulae to help us integrate sin2x or cos2x.
Pythagoras’ theorem is also useful.
Cos 2A = cos2A-sin2A = 2cos2A – 1 = 1-2sin2A
1+tan2x=sec2x
1+cot2x=cosec2x
Worked Examples
1.) Find
2.) Show that
3.) Find
Exercise 4


Mixed Exercise


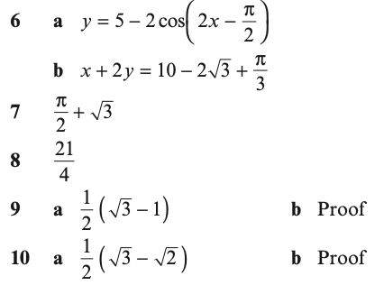
Exercise 4 Answers

Mixed Exercise Answers

