Partial Fractions – Improper Fractions
It is often useful to split an algebraic fraction into a sum of algebraic fractions, that are, for instance, easier to integrate.
If the degree of the numerator is greater than or equal to the degree of the denominator, we start by using algebraic division to express the fraction as Q + R/D.
Worked Examples
1.) Given that , find the values of A, B, C and D.
2.) . Show that f(x) can be written as
and find the values of A, B, C, D and E.
Exercise 1

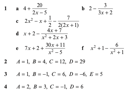
Answers

Partial Fractions
There are three standard ways in which we will use partial fractions, illustrated algebraically below. Their application will be best seen by way of example
Type 1:
Type 2:
Type 3:
Worked Examples
1.) Express as a sum of partial fractions.
2.) Express as a sum of partial fractions.
3.) Express as a sum of partial fractions.
Exercise 2


Answers


Binomial Expansion
In P1, we used the following form of the binomial expansion, which applies for any positive integer n:
This can also be written in the following way, which applies for any real number n, provided that |x|<1:
Worked Examples
1.) Expand each of the following as a series of ascending powers of x up to and including the term in x3, stating the set of values of x for which the expansion is valid:
- (1+x)-3
- (1+2x)-3
- (1-2x)-3
2.) Find a quadratic approximation for , stating the values of x for which the expansion is valid.
3.) Find a and b such that and state the values of x for which the expansion is valid.
Exercise 3


Answers


Binomial Expansions of the Form (a+x)n
We can easily rearrange the expression to change it to (1+x)n form,
e.g. (x+2)-1 can be rewritten as (2+x)-1 = 2-1(1+)-1, which can then be expanded. Similarly, (2x-1)-3 can be rewritten as (-1)-3(1-2x)-3 which can also be expanded.
Worked Examples
1.) Expand (2+x)-3 as a series of ascending powers of x up to and including the term in x2, stating the values of x for which the expansion is valid.
2.) Find the first four terms in the binomial expansion of:
, stating the range of values of x for which each of these expansions is valid.
Exercise 4


Answers

Partial Fractions & Binomial Expansion
One of the most common reasons for writing an expression in partial fractions is to enable binomial expansions to be applied, as in the following example:
Express in partial fractions and hence find the first three terms of its binomial expansion, stating the values of x for which it is valid.
Exercise 5


Answers

Mixed Exercise


Answers

