Skip to content
Exam qs
Exam Questions: Workedu0026nbsp;Solutions
SAT. Subject Levelu0026nbsp;2
Uncategorized
Maths with David
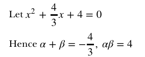
9231. Pure 1. Roots of Polynomials. Solution 1.2a
Share this:
Tweet
Like
Loading…
Loading Comments...
Write a Comment...
Email (Required)
Name (Required)
Website
Subscribe
Subscribed
Maths with David
Join 30 other subscribers
Sign me up
Already have a WordPress.com account?
Log in now.
Maths with David
Subscribe
Subscribed
Sign up
Log in
Copy shortlink
Report this content
View post in Reader
Manage subscriptions
Collapse this bar
%d