A series is the sum of all the terms in a sequence (the sequence may be finite or infinite).
You have already met arithmetic and geometric series and applied the formulae for their series:

We will build on and extend this work, by looking at convergent series and series of squares and cubes of numbers.
Summation formulae: Σr, Σr2, Σr3
Let’s think about language first.
means that k is added together n times, i.e. this is equal to kn.
However, is quite different and means the sum of the digits from 1 to n, i.e. an arithmetic sequence with first term 1 and difference 1, which from the formula above has a sum of
In summary,
Worked Example
Find and hence calculate
Note
We are not restricted to “n” as our upper limit, for instance would be
We can use this to deduce as this is the sum of the first 2n terms minus the first n terms, so is
, which is
Worked example 2
Find an expression for the first n terms of: 1 + 3 + 5 + 7 + …
Σr2
Let’s work with the binomial expansion (r+1)3=r3+3r2+3r+1
If we substitute 1,2,3, …,n into this equation we get:
23 = 13 + 3×12 + 3×1 + 1
33 = 23 + 3×22 + 3×2 + 1
43 = 33 + 3×32 + 3×3 +1
…
(n+1)3 = n3 + 3xn2 +3xn +1
If we add all of the terms on the right hand side, we have
We can then add 1 (i.e. 13) to both aides of the equation to give us:
We notice that both sides of the equation include so we can subtract this leaving
which we can then solve to give a formula for
Worked Example
Find an expression in terms of n for
Σr3
Similar to our last example, let’s start with the binomial expansion (r+1)4=r4+4r3+6r2+4r+1, and substitute in successive natural numbers, giving:
24 = 14 + 4×13 + 6×12 + 4×1 + 1
34 = 24 + 4×23 + 6×22 + 4×2 + 1
44 = 34 + 4×33 + 6×32 + 4×3 +1
…
(n+1)4 = n4 + 4xn3 + 6xn2 +4xn +1.
Adding 1 to both sides and summing give:
Following the same procedures as above, we can rearrange this to find
Standard Summations Reminder (in formula book, but also good to memorise)

Worked Example
Find an expression in terms of n for
Exercise 1

Answers to Exercise 1
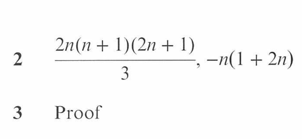
1,2. Proof; 3. -n, 4. Proof; 5. 6.
, 7. 328,350, 8. Proof, 32,760, 9. 204,020,000
Worked Solutions to Exercise 1
Converging Series
We will now look at infinite series with a finite sum. In order to identify the finite sum, we will have to spot patterns within the series.
Let’s consider first .
If we look at the first few terms, it is hard to spot a pattern.
So let’s try a different methods. Using the partial fractions method, let’s rewrite (do you remember how to do this?)
So we can now look at .
If we look at the first few terms of this: we see that all of the terms in the middle cancel out, leaving us with just
, i.e.
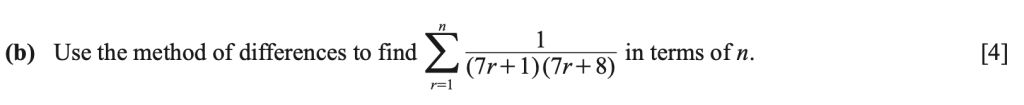
When we cancel terms in this way we are using what is called the method of differences.
Worked examples
- Find in terms of n, the sum of
;
;
;
.
Exercise 2 and General Exercise



Answers to Exercise 2 and General Exercise


Worked Solutions to Exercise 2
Past Paper Exam Questions
Summer 2020 11:



Winter 2020 11:



Winter 2020 12:



Summer 2019 11:



Summer 2019 13:

